Phương pháp khấu hao tscd theo đường thẳng | Là phương pháp trích khấu hao theo mức tính ổn định từng năm vào chi phí sản xuất kinh doanh của doanh nghiệp của tài sản cố định tham gia vào hoạt động kinh doanh nằm trong nhóm 3 phương pháp trích khấu hao theo thông tư số 45/2013/TT-BTC thay thế cho TT 203/2009/TT-BTC.

1. Nội dung của phương pháp khấu hao TSCĐ theo đường thẳng
Tài sản cố định trong doanh nghiệp được trích khấu hao theo phương pháp khấu hao tài sản cố định theo đường thẳng như sau:
– Xác định mức trích khấu hao trung bình hàng năm cho tài sản cố định theo công thức dưới đây:
Mức trích khấu hao trung bình hàng năm của tài sản cố định | = | Nguyên giá của tài sản cố định |
Thời gian trích khấu hao |
– Mức trích khấu hao trung bình hàng tháng bằng số khấu hao phải trích cả năm chia cho 12 tháng.
Trường hợp thời gian trích khấu hao hay nguyên giá của tài sản cố định thay đổi, doanh nghiệp phải xác định lại mức trích khấu hao trung bình của tài sản cố định bằng cách lấy giá trị còn lại trên sổ kế toán chia (:) cho thời gian trích khấu hao xác định lại hoặc thời gian trích khấu hao còn lại (được xác định là chênh lệch giữa thời gian trích khấu hao đã đăng ký trừ thời gian đã trích khấu hao) của tài sản cố định.
Mức trích khấu hao cho năm cuối cùng của thời gian trích khấu hao tài sản cố định được xác định là hiệu số giữa nguyên giá tài sản cố định và số khấu hao luỹ kế đã thực hiện đến năm trước năm cuối cùng của tài sản cố định đó.
LƯU Ý:
Doanh nghiệp hoạt động có hiệu quả kinh tế cao được khấu hao nhanh nhưng tối đa không quá 2 lần mức khấu hao xác định theo phương pháp đường thẳng để nhanh chóng đổi mới công nghệ. Tài sản cố định tham gia vào hoạt động kinh doanh được trích khấu hao nhanh là máy móc, thiết bị; dụng cụ làm việc đo lường, thí nghiệm; thiết bị và phương tiện vận tải; dụng cụ quản lý; súc vật, vườn cây lâu năm. Khi thực hiện trích khấu hao nhanh, doanh nghiệp phải đảm bảo kinh doanh có lãi. Trường hợp doanh nghiệp trích khấu hao nhanh vượt 2 lần mức quy định tại khung thời gian sử dụng tài sản cố định nêu tại Phụ lục 1 kèm theo Thông tư này, thì phần trích vượt mức khấu hao nhanh (quá 2 lần) không được tính vào chi phí hợp lý khi tính thuế thu nhập trong kỳ (phương pháp khấu hao tscd theo đường thẳng)
2. Ví dụ cách tính phương pháp khấu hao TSCĐ theo đường thẳng
Ví dụ: Công ty A mua một tài sản cố định (mới 100%) với giá ghi trên hoá đơn là 119 triệu đồng, chiết khấu mua hàng là 5 triệu đồng, chi phí vận chuyển là 3 triệu đồng, chi phí lắp đặt, chạy thử là 3 triệu đồng.
a. Tài sản được đưa vào sử dụng vào ngày 1/1/2013
Biết rằng tài sản cố định có tuổi thọ kỹ thuật là 12 năm, thời gian trích khấu hao của tài sản cố định doanh nghiệp dự kiến là 10 năm (phù hợp với quy định tại Phụ lục 1 ban hành kèm theo Thông tư số 45/2013/TT- BTC), tài sản được đưa vào sử dụng vào ngày 1/1/2013).
Nguyên giá tài sản cố định = 119 triệu – 5 triệu + 3 triệu + 3 triệu = 120 triệu đồng
Mức trích khấu hao trung bình hàng năm = 120 triệu : 10 năm =12 triệu đồng/năm.
Mức trích khấu hao trung bình hàng tháng = 12 triệu đồng: 12 tháng = 1 triệu đồng/ tháng
Hàng năm, doanh nghiệp trích 12 triệu đồng chi phí trích khấu hao tài sản cố định đó vào chi phí kinh doanh (phương pháp khấu hao tscd theo đường thẳng)
b. Tài sản được đưa vào sử dụng vào ngày 1/1/2018
Sau 5 năm sử dụng, doanh nghiệp nâng cấp tài sản cố định với tổng chi phí là 30 triệu đồng, thời gian sử dụng được đánh giá lại là 6 năm (tăng 1 năm so với thời gian sử dụng đã đăng ký ban đầu), ngày hoàn thành đưa vào sử dụng là 1/1/2018.
– Nguyên giá tài sản cố định = 120 triệu đồng + 30 triệu đồng = 150 triệu đồng
– Số khấu hao luỹ kế đã trích = 12 triệu đồng (x) 5 năm = 60 triệu đồng
– Giá trị còn lại trên sổ kế toán = 150 triệu đồng – 60 triệu đồng = 90 triệu đồng
– Mức trích khấu hao trung bình hàng năm = 90 triệu đồng : 6 năm = 15 triệu đồng/ năm
– Mức trích khấu hao trung bình hàng tháng = 15.000.000 đồng : 12 tháng =1.250.000 đồng/ tháng
=> Từ năm 2018 trở đi, doanh nghiệp trích khấu hao vào chi phí kinh doanh mỗi tháng 1.250.000 đồng đối với tài sản cố định vừa được nâng cấp.
XEM THÊM: Điều kiện trích khấu hao nhanh tài sản cố định trong doanh nghiệp
3. Xác định mức trích khấu hao tài sản cố định mới nhất
a. Cách xác định mức trích khấu hao (phương pháp khấu hao tscd theo đường thẳng)
– Căn cứ các số liệu trên sổ kế toán, hồ sơ của tài sản cố định để xác định giá trị còn lại trên sổ kế toán của tài sản cố định.
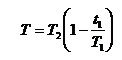
– Xác định thời gian trích khấu hao còn lại của tài sản cố định theo công thức sau:
Trong đó:
T: Thời gian trích khấu hao còn lại của tài sản cố định
T1 : Thời gian trích khấu hao của tài sản cố định xác định theo quy định tại Phụ lục 1 ban hành kèm theo Thông tư số 203/2009/TT-BTC.
T2 : Thời gian trích khấu hao của tài sản cố định xác định theo quy định tại Phụ lục 1 ban hành kèm theo Thông tư số …/2013/TT-BTC.
t1 : Thời gian thực tế đã trích khấu hao của tài sản cố định
– Xác định mức trích khấu hao hàng năm (cho những năm còn lại của tài sản cố định) như sau:
Mức trích khấu hao trung bình hàng năm của TSCĐ | = | Giá trị còn lại của tài sản cố định |
Thời gian trích khấu hao còn lại của TSCĐ |
– Mức trích khấu hao trung bình hàng tháng bằng số khấu hao phải trích cả năm chia cho 12 tháng.
XEM THÊM: Cách phân bổ khấu hao tài sản cố định
b. Ví dụ tính và trích khấu hao tài sản cố định (phương pháp khấu hao tscd theo đường thẳng)
VD: Doanh nghiệp sử dụng một máy khai khoáng có nguyên giá 600 triệu đồng từ ngày 01/01/2019. Thời gian sử dụng xác định theo quy định tại Phụ lục 1 ban hành kèm theo Thông tư số 203/2009/TT-BTC là 10 năm. Thời gian đã sử dụng của máy khai khoáng này tính đến hết ngày 31/12/2020 là 2 năm. Số khấu hao luỹ kế là 120 triệu đồng.
– Giá trị còn lại trên sổ kế toán của máy khai khoáng là 480 triệu đồng.
– Doanh nghiệp xác định thời gian trích khấu hao của máy khai khoáng là 15 năm theo Phụ lục I Thông tư số 45/2013/TT-BTC.
– Xác định thời gian trích khấu hao còn lại của máy khai khoáng như sau:
Thời gian trích khấu hao còn lại của TSCĐ | = 15 năm x | ( 1 – | 2 năm | ) = 12 năm |
10 năm |
– Mức trích khấu hao trung bình hàng năm = 480 triệu đồng : 12 năm = 40 triệu đồng/ năm (theo Thông tư số 45/2013/TT-BTC)
– Mức trích khấu hao trung bình hàng tháng = 40 triệu đồng : 12 tháng = 3,333 triệu đồng/ tháng
=> Từ ngày 01/01/2019 đến hết ngày 31/12/2030, doanh nghiệp trích khấu hao đối với máy khai khoáng này vào chi phí kinh doanh mỗi tháng là 3,333 triệu đồng.
XEM THÊM: Phương pháp khấu hao theo số dư giảm dần có điều chỉnh
Trên đây là hướng dẫn phương pháp khấu hao tscd theo đường thẳng mà Kế toán Việt Hưng muốn chia sẻ mong rằng sẽ hữu ích cho các bạn xem – Tham gia ngay khoá học kế toán Online thăng cấp level chỉ sau 1 tuần học khiến nghiệp vụ thay đổi thực tế như đi làm với bậc thầy nhà nghề lâu năm kinh nghiệm làm ngành cùng khả năng sư phạm truyền đạt tốt tới từ mọi miền!


Công ty mình là công ty may mới thành lập, có mua 1 cái điều hoà hơn 20 triệu và 1 cái điều hoà hơn 30 triệu, và 5 máy may có giá trị mỗi máy 15 triệu, nhưng tổng 5 máy may là 75 triệu. Mình xin hỏi là mấy máy móc kia có được hạch toán làm Tài sản cố định không? Xin mọi người cho mình ít kinh nghiệm! Tks cả nhà!
– Sau này bên mình sẽ mua thêm máy may, tính lẻ thì giá trị dưới 30tr, nhưng tổng nhiều máy sẽ trên 30tr. Những máy này đều sử dụng trên 1 năm và thu được lợi ích trong tương lai! Mình hơi lấn cấn ở chỗ giá trị tài sản nếu tính gộp nhiều máy may lại sẽ là giá trị lớn!
Chào bạn, với câu hỏi của bạn Kế Toán Việt Hưng xin trả lời như sau:
Trường hợp này mỗi cái máy may đều hoạt động độc lập được mà k cần đến cái khác thì chỉ là CCDC thôi
Mời bạn truy cập Cộng Đồng Làm Kế Toán https://www.facebook.com/groups/congdonglamketoan để đặt câu hỏi và nhận câu trả lời nhanh chóng, chính xác nhất từ đội ngũ giáo viên giàu kinh nghiệm của chúng tôi!